光学镀膜基本原理是什么?
光学镀膜基本原理是什么?
需要增透减反技术可以联系我们上海工厂18917106313
上海卷柔新技术光电有限公司是一家专业研发生产光学仪器及其零配件的高科技企业,公司2005年成立在上海闵行零号湾创业园区,专业的光电镀膜公司,技术背景依托中国科学院,卷柔产品主要涉及光学仪器及其零配件的研发和加工;光学透镜、反射镜、棱镜,平板显示,安防监控等光学镀膜产品的开发和生产,为全球客户提供上等的产品和服务。
光学薄膜是多光束干涉应用的一个实例。
用物理或化学的方法涂敷单层或多层透明介质薄膜,可利用薄膜上、下表面干涉相长或相消,使得反射光增强或减弱,来达到增透或者增反的作用。
一、单层镀膜
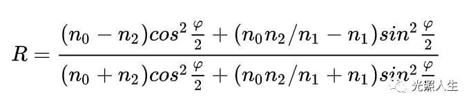
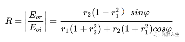
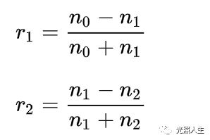
设在折射率为
的基片上只镀一层折射率为
、厚度为
的介质薄膜。将上下表面用一个等效分界面来表示,这个等效分界面的反射率
,也就是薄膜的反射率。有:
其中
是产生的相位差。
如果光是正入射,可以简化菲涅尔公式得到反射系数,有:
由此得到的单层膜反射率
“未镀膜”
①当n1=n2 或者 n1=n0 ,由反射率公式知,
等效于未镀膜。
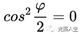
②这里还要考虑到膜层厚度,由光程差公式,当
仍然等效于没有镀膜,光好像是直接打在基片上一样。
-
增反
当 n1>n2 , R>R0 ,会产生增反的效果。
在“未镀膜”里考虑到的膜层厚度问题,这里也要进行考虑。若
,
同样地,有
,代入R的计算公式可以得到*大的反射率,为:
-
增透
当 n1<n2 , R<R0 ,会产生增透的效果。
仍然要考虑膜层厚度,与增反时讨论的类似,若
同样地,有
,代入R的计算公式可以得到*小的反射率,
不难注意到:
①该式与增反时得到的*大反射率式相同,因为推导的前提是一样的。但是有 n1 的值不同,所以对应着*大和*小。
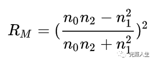
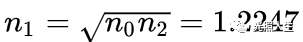
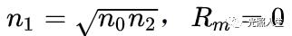
②当
,实现完全增透。
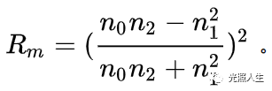
若 n0=1,n2=1.5 ,经过计算知要达到完全增透
得到
,
这么低的折射率材料目前还没有找到。若采用常用的增反 MgF2 材料,折射率为1.38,可得到
总而言之,当薄膜膜层 nh 满足λ0/4的奇数倍,薄膜可以达到*大反射率和*小反射率。至于是增反还是增透,看所镀膜层的折射率 n1与基片折射率 n2 关系。
如果不是正入射情况,或者光束中包含了其他的波长,则不能采用正入射情况下简化得到的反射率公式。因为这是在给定波长 λ0 的情况下推导的,只能用简化前的公式计算。
二、多层膜
单层膜一般用于增反、增透和分束。功能有限,如果要满足更高的需求,需要采用镀多层膜。
常用多层膜由膜层厚度满足 nh =λ0/4的高折射率和低折射率膜层交替镀制,在此膜层厚度的基础上,提出等效折射率的概念:
,那么在镀了一层膜之后,由等效折射率概念,又可以回归到单层膜的处理思路,实现了简化。新的镀膜则是在基片折射率为
的基础上镀制的。
镀膜应用及常用光学薄膜
-
高反膜
高反射膜在现代应用很广。激光器谐振腔的高反镜就是在玻璃基片上镀多层膜构成的多膜系。利用增透和增反的原理制成的高反射率多层光学薄膜在激光器、激光陀螺和DWDM等都有着广泛应用。
-
干涉滤光片
利用多光束干涉原理制成的一种从白光中过滤近单色光的多层膜系。类似于间隔很小的F-P标准具。
PS:标准具:间隔固定不变的F-P干涉仪。
-
彩色分光膜
在彩电和彩色印刷中,需要将光分成红、绿、蓝三原色。采用多层介质膜可以制成可见光区域有选择反射性能的滤光器。
-
红外滤光片
分为两种情况,膜层反射可见光透过红外光;膜层反射红外光透过可见光。
前者用于避免发热的照明场合,后者可以用于放映机中保护胶片。
关于我们
上海卷柔新技术光电有限公司是一家专业研发生产光学仪器及其零配件的高科技企业,公司2005年成立在上海闵行零号湾创业园区,专业的光电镀膜公司,技术背景依托中国科学院,卷柔产品主要涉及光学仪器及其零配件的研发和加工;光学透镜、反射镜、棱镜,平板显示,安防监控等光学镀膜产品的开发和生产,为全球客户提供上等的产品和服务。
采用德国薄膜制备工艺,形成了一套具有严格工艺标准的闭环式流程技术制备体系,能够制备各种超高性能光学薄膜,包括红外薄膜、增透膜,ARcoating,激光薄膜、特种薄膜、紫外薄膜、x射线薄膜,应用领域涉及激光切割、激光焊接、激光美容、医用激光器、光学科研,红外制导、面部识别、VR/AR应用,博物馆,低反射橱窗玻璃,画框,工业灯具照明,广告机,点餐机,电子白板,安防监控等。卷柔新技术拥有自主知识产权的全自动生产线【sol-gel溶胶凝胶法镀膜线】,这条生产线能够生产全球先进的减反射玻璃。镀膜版面可达到2440*3660mm,玻璃厚度从0.3mm到12mm都可以,另外针对PC,PMMA方面的增透膜也具有量产生产能力。ARcoating减反膜基本接近无色,色彩还原性好,并且可以避免了磁控溅射的缺点,镀完增透膜后玻璃可以做热弯处理和钢化处理以及DIP打印处理。这个难度和具有很好的应用性,新意突出,实用性突出,湿法镀膜在价格方面也均优于真空磁控的干法。
卷柔减反射(AR)玻璃的特点:高透,膜层无色,膜硬度高,抗老化性强(耐候性强于玻璃),玻璃长期使用存放不发霉,且有一定的自洁效果.AR增透减反膜玻璃产品广泛应用于**文博展示、低反射幕墙、广告机玻璃、节能灯具盖板玻璃、液晶显示器保护玻璃等多行业。
我们的愿景:卷柔让光学更具价值!
我们的使命:有光的地方就有卷柔新技术!
我们的目标:以高质量的产品,优惠的价格,贴心的服务,为客户提供优良的解决方案。
上海卷柔科技以现代镀膜技术为核心驱动力,通过镀膜设备、镀膜加工、光学镀膜产品服务于客户,努力为客户创造新的利润空间和竞争优势,为中国的民族制造业的发展贡献力量。



