浅谈增透膜的原理与制备
浅谈增透膜的原理与制备
需要增透减反技术可以联系我们上海工厂18917106313
上海卷柔新技术光电有限公司是一家专业研发生产光学仪器及其零配件的高科技企业,公司2005年成立在上海闵行零号湾创业园区,专业的光电镀膜公司,技术背景依托中国科学院,卷柔产品主要涉及光学仪器及其零配件的研发和加工;光学透镜、反射镜、棱镜,平板显示,安防监控等光学镀膜产品的开发和生产,为全球客户提供上等的产品和服务。
关于增透膜
光学镀膜用于增强光学组件的透射、反射或偏振特性。光学薄膜根据不同性质及用途,分类的方式也不同,如图1所示。增透膜又称减反射膜,用于降低光学器件表面的反射率,从而提高器件的透射率,作为发展历史*久、应用*广的光学薄膜,对生产实践具有重要意义。在复杂光学系统中,镜片数目众多,若在与空气相邻的表面未镀制增透膜,导致光能量的损失,降低成像亮度。另外镜片表面因反射形成的杂散光到达像面,影响了成像质量。

图1:光学薄膜用途【1】
随着应用需求的不断提升,增透膜的要求随之越来越高,例如在大功率激光系统中,为避免高能量激光破坏光学元件,要求表面的反射率极低。在宽波段探测系统中,为达到提高像平衡、成像质量、探测距离的要求,更宽波段的增透膜需求广泛。宽带增透膜(Broadband Anti-Reflection Coating)广泛应用于光学元件,如透镜、滤光器、激光器和太阳能电池板等。
增透膜原理
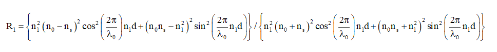
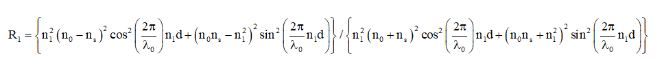
增透膜指根据薄膜干涉原理制成的使反射光减弱的透明薄膜。当光射到媒质的分界面上时,在一般情况下,反射光和折射光同时存在。理论研究指出,在垂直人射的情况下,单层膜的反射率为:

其中n1为膜的折射率,n0和ns分别为膜两侧媒质折射率,d为膜的厚度。
当膜的光学厚度为λ0/4的奇数倍时,带入公式计算。此时光垂直入射于膜上,膜上表面和下表面反射的两束光强度相等,相位相反产生相消干涉,使反射光消失,透射光增强[2]。
增透膜类型
目前应用较为简单的增透膜一般为单层膜,而较广泛的则是双层或者多层膜。单层增透膜只能使某一波长附近的反射率降低,而多层增透膜则可以使某一波段具有很低的反射率。但这并不意味着减反射膜层越多镜片的透光率就越高,因为多层减反射膜层是一个系统,简单增加膜层的数量无益于减反射效果的提高,它还与膜层厚度的设计、膜层材料的选择等因素有密切的联系,同时相消干涉原理主要以几个不同界面反射回来光波相互重叠,*终使反射波的相位和振幅相互抵消。
单层增透膜

单层增透膜的结构比较简单,主要在玻璃的空气面加镀单一的膜层。理想的单层增透膜的条件是:膜层的光学厚度为λ0/4,其折射率为人射媒质的折射率与基片折射率两者乘积的平方根。在可见光的基片材料,例如未镀膜的钠钙硅酸盐玻璃折射率为 1.52。在不镀膜的情况下,每一面的反射率都超过 6%。根据理论计算,单层增透膜要完全增透,要求该膜的折射率为1.23.目前,广泛使用的低折射率镀膜材料是氟化镁,它在550nm处的折射率为1.38,对钠钙硅酸盐玻璃是不能够完全消失反射的。
当膜层厚λ0/4时,以空气折射率n=1,玻璃折射率n=1.52,膜折射率n=1.38。可以看出,此时的剩余反射率R=1.3%。与多层膜相比,单层增透膜的优点是可以用同样的膜层材料镀在不同折射率的玻璃上。虽然单层薄膜增透效果不很理想,但由于制备工艺简单,故得到广泛的使用。例如太阳能光伏玻璃在400-1100nm的平均透过率近92%,利用单层增透膜 MgF2采用高真空高温条件在太阳能光伏玻璃上表面沉积后,在400~1100nm平均透过率大于94%,透过率提高2%以上。

图2:单层增透膜
双层增透膜

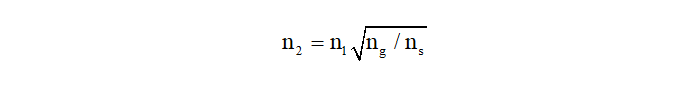
单层增透膜的剩余反射一般较高,不能满足复杂的光学系统要求。此时需采用双层增透膜或多层增透膜。*简单的双层增透膜是“λ0/4-λ0/4”膜系,在基片上先镀上一层折射率n2高于基片的λ0/4膜层,然后再镀上λ0/4厚的低折射率n1膜层。当薄膜折射率 n2满足下式时:

其中,n1为**层膜层折射率;ng为基片折射率;ns为媒介折射率。此时膜系中心波长反射率为零。双层增透膜一般可应用于视觉光学仪器、激光或其他单色光源系统。
多层介质膜

对于较宽光谱内的低反射要求,一般采用3层或更多层增透膜。常用的3层增透膜是“λ0/4-λ0/2-λ0/4”膜系。较为典型的增透膜膜系为:glass-SiO2/TiO2- TiO2- SiO2。多层膜系在一定的范围内,反射率可控制在0.6%以下。
增透膜制备
多层增透膜设计及镀膜工艺比较复杂,制备过程中需要**控制膜层厚度和材料的成分、形貌等,以确保薄膜具有较高的光学透过率和较低的反射率。同时,需要选择合适的材料,如二氧化硅、氧化铝等高折射率材料,以实现较高的光学透过率和较低的损耗。宽带增透膜的低损耗在于可以减少光能的损失,从而提高光学器件的效率和稳定性,特别是对于一些高精度、高要求的光学器件来说,低损耗特性非常重要。图3显示了薄膜制备技术的分类。

图3:薄膜制备技术[1]
对于化学气相沉积法:2023年,Li Zhaoyi等采用低压化学气相沉积法制备氮化硅波导具有更低的损耗和更好的工艺重复性。使用类似于铜互连CMOS工艺的雾状花纹方法在8英寸硅片上成功制备了400 nm厚的氮化硅波导,并证明了在1550 nm处的传播损耗仅为0.157 dB/cm,在1580 nm处的传播损耗仅为0.06 dB/cm[3]。

图4: (a) 已完成的8英寸晶圆,(b) 氮化硅芯片,(c) 半自动测试平台,(d) 用于测试的螺旋和弯曲波导的布局设计[3]。
对于溶胶凝胶法:2023年,沈斌等[4]采用溶胶凝胶法制备得到以正丙醇锆和正硅酸乙酯为前驱体的ZrO2和SiO2溶胶,通过TFCalc光学薄膜软件模拟了ZrO2/SiO2三层“宽M型”基频二倍频减反膜并使用提拉法制备得到了该均匀膜层。三层减反膜在527 nm和1053 nm处的透过率约为99.5%,且透过率大于99%的波长范围均超过150 nm。经热处理后的膜层表面均方根粗糙度为1.34 nm,表面平整性良好;并运用1-on-1激光损伤阈值测试方法测得该减反膜的零几率激光损伤阈值达到36.8 J∙cm−2 (1064 nm,10.7 ns)。

图5:基底三层减反膜的SEM 图。(a)ZrO2表面;(b)SiO2-MR 表面;(c)SiO2-AR 表面;(d)截面图[4]
对于物**相沉积法:2022年,Addie Ali J等[5]利用磁控溅射技术合成一种非晶氮化碳CNx薄膜,作为用于c-Si太阳能电池的新型双功能增透膜(ARC)。通过测量反射率、光电转换效率和外部量子效率,研究了CNx薄膜的性能。在550 nm波长处的*小反射率为0.3%,在宽波长范围内实现的外部量子效率超过90%

图6:不同衬底温度和沉积时间下沉积的 CNx 薄膜的光学特性。(a) 在不同衬底温度下沉积在玻璃衬底上的薄膜的光学透射光谱,插图显示了薄膜的可见光透明度。(b) 不同衬底温度下沉积的 CNx 薄膜的 Tauc 曲线。插图表示光学带隙随衬底温度的变化。(c) 不同衬底温度下沉积的 CNx 薄膜的折射率随波长的变化。(d) 在 200 °C 下不同沉积时间(层厚度)沉积的薄膜的反射光谱,同时给出了裸硅片的参考反射光谱[5]
制备薄膜是一项重要的技术,化学气相沉积、溶胶–凝胶法和物**相沉积法是三种常见的增透膜制备技术。虽然它们都可以制备高质量的薄膜,但它们之间存在差异,包括制备成本、生产效率和薄膜质量等方面。因此,在选择合适的薄膜制备技术时,需要仔细考虑这些因素。图7对这三种技术进行详细对比分析。

图7:三种薄膜制备技术对比[1]
关于我们
上海卷柔新技术光电有限公司是一家专业研发生产光学仪器及其零配件的高科技企业,公司2005年成立在上海闵行零号湾创业园区,专业的光电镀膜公司,技术背景依托中国科学院,卷柔产品主要涉及光学仪器及其零配件的研发和加工;光学透镜、反射镜、棱镜,平板显示,安防监控等光学镀膜产品的开发和生产,为全球客户提供上等的产品和服务。
采用德国薄膜制备工艺,形成了一套具有严格工艺标准的闭环式流程技术制备体系,能够制备各种超高性能光学薄膜,包括红外薄膜、增透膜,ARcoating,激光薄膜、特种薄膜、紫外薄膜、x射线薄膜,应用领域涉及激光切割、激光焊接、激光美容、医用激光器、光学科研,红外制导、面部识别、VR/AR应用,博物馆,低反射橱窗玻璃,画框,工业灯具照明,广告机,点餐机,电子白板,安防监控等。卷柔新技术拥有自主知识产权的全自动生产线【sol-gel溶胶凝胶法镀膜线】,这条生产线能够生产全球先进的减反射玻璃。镀膜版面可达到2440*3660mm,玻璃厚度从0.3mm到12mm都可以,另外针对PC,PMMA方面的增透膜也具有量产生产能力。ARcoating减反膜基本接近无色,色彩还原性好,并且可以避免了磁控溅射的缺点,镀完增透膜后玻璃可以做热弯处理和钢化处理以及DIP打印处理。这个难度和具有很好的应用性,新意突出,实用性突出,湿法镀膜在价格方面也均优于真空磁控的干法。
卷柔减反射(AR)玻璃的特点:高透,膜层无色,膜硬度高,抗老化性强(耐候性强于玻璃),玻璃长期使用存放不发霉,且有一定的自洁效果.AR增透减反膜玻璃产品广泛应用于**文博展示、低反射幕墙、广告机玻璃、节能灯具盖板玻璃、液晶显示器保护玻璃等多行业。
我们的愿景:卷柔让光学更具价值!
我们的使命:有光的地方就有卷柔新技术!
我们的目标:以高质量的产品,优惠的价格,贴心的服务,为客户提供优良的解决方案。
上海卷柔科技以现代镀膜技术为核心驱动力,通过镀膜设备、镀膜加工、光学镀膜产品服务于客户,努力为客户创造新的利润空间和竞争优势,为中国的民族制造业的发展贡献力量。



