增透/减反膜(AR膜)原理、工艺与应用
增透/减反膜(AR膜)原理、工艺与应用
需要增透减反技术可以联系我们上海工厂18917106313
上海卷柔新技术光电有限公司是一家专业研发生产光学仪器及其零配件的高科技企业,公司2005年成立在上海闵行零号湾创业园区,专业的光电镀膜公司,技术背景依托中国科学院,卷柔产品主要涉及光学仪器及其零配件的研发和加工;光学透镜、反射镜、棱镜,平板显示,安防监控等光学镀膜产品的开发和生产,为全球客户提供上等的产品和服务。
夏日正午的停车场,车主低头操作车载中控,阳光在屏幕上反射出一片眩光,连导航箭头都变得模糊;
广场上的户外大屏刚播放完广告,指纹与灰尘便在表面留下斑驳痕迹,远处的观众只能看见一片朦胧...
这些场景里藏着同一个 “显示痛点”:缺了一层能 “抗反射、防指纹” 的光学膜。
在车载电子与户外显示快速扩张的今天,AR光学膜早已不是 “可选配件”,而是 “必装铠甲”。
正是基于这些现实场景的迫切需求,光学薄膜技术应运而生并快速发展。

光学薄膜是指在光学元件或独立基板上,镀制或涂布一层或多层介电质膜或金属膜或这两类膜的组合,以改变光波之传递特性。
包括光的透射、反射、吸收、散射、偏振及相位改变。
故经由适当设计可以调变不同波段元件表面之穿透率及反射率,亦可以使不同偏振平面的光具有不同的特性。
尤其在柔性功能薄膜生产方面,我们拥有国内先进的卷对卷磁控溅射镀膜产线,可以持续、稳定生产高品质功能薄膜,并承接包括AR膜在内的各项定制化功能膜。

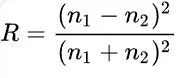
以玻璃为例,通过上述公式得出当光从空气(n1=1)进入玻璃时(n2=1.5),每个界面有约4.0%左右的入射光被反射。就是这4%的却造成了很多困扰。
减反射膜又称增透膜,它的主要功能是减少或消除透镜、棱镜、平面镜等光学表面的反射光,从而增加这些元件的透光量,减少或消除系统的杂散光。
图1. 左边是常规玻璃,右边是减反射玻璃

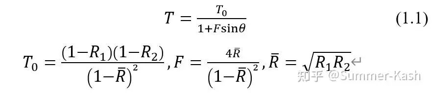
多层减反膜

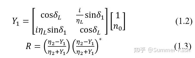
尝试先计算R1与R2,根据二者反射率曲线的关系来调整减反膜整体的结构。膜层L与膜层H间反射率计算如下

膜层M与膜层H反射率如式1.3同理可得。
令

膜层整体反射率为


关于我们
上海卷柔新技术光电有限公司是一家专业研发生产光学仪器及其零配件的高科技企业,公司2005年成立在上海闵行零号湾创业园区,专业的光电镀膜公司,技术背景依托中国科学院,卷柔产品主要涉及光学仪器及其零配件的研发和加工;光学透镜、反射镜、棱镜,平板显示,安防监控等光学镀膜产品的开发和生产,为全球客户提供上等的产品和服务。
采用德国薄膜制备工艺,形成了一套具有严格工艺标准的闭环式流程技术制备体系,能够制备各种超高性能光学薄膜,包括红外薄膜、增透膜,ARcoating,激光薄膜、特种薄膜、紫外薄膜、x射线薄膜,应用领域涉及激光切割、激光焊接、激光美容、医用激光器、光学科研,红外制导、面部识别、VR/AR应用,博物馆,低反射橱窗玻璃,画框,工业灯具照明,广告机,点餐机,电子白板,安防监控等。卷柔新技术拥有自主知识产权的全自动生产线【sol-gel溶胶凝胶法镀膜线】,这条生产线能够生产全球先进的减反射玻璃。镀膜版面可达到2440*3660mm,玻璃厚度从0.3mm到12mm都可以,另外针对PC,PMMA方面的增透膜也具有量产生产能力。ARcoating减反膜基本接近无色,色彩还原性好,并且可以避免了磁控溅射的缺点,镀完增透膜后玻璃可以做热弯处理和钢化处理以及DIP打印处理。这个难度和具有很好的应用性,新意突出,实用性突出,湿法镀膜在价格方面也均优于真空磁控的干法。
卷柔减反射(AR)玻璃的特点:高透,膜层无色,膜硬度高,抗老化性强(耐候性强于玻璃),玻璃长期使用存放不发霉,且有一定的自洁效果.AR增透减反膜玻璃产品广泛应用于**文博展示、低反射幕墙、广告机玻璃、节能灯具盖板玻璃、液晶显示器保护玻璃等多行业。
我们的愿景:卷柔让光学更具价值!
我们的使命:有光的地方就有卷柔新技术!
我们的目标:以高质量的产品,优惠的价格,贴心的服务,为客户提供优良的解决方案。
上海卷柔科技以现代镀膜技术为核心驱动力,通过镀膜设备、镀膜加工、光学镀膜产品服务于客户,努力为客户创造新的利润空间和竞争优势,为中国的民族制造业的发展贡献力量。



