卷对卷涂布技术及其应用
卷对卷涂布技术及其应用
需要增透减反技术可以联系我们上海工厂18917106313
上海卷柔新技术光电有限公司是一家专业研发生产光学仪器及其零配件的高科技企业,公司2005年成立在上海闵行零号湾创业园区,专业的光电镀膜公司,技术背景依托中国科学院,卷柔产品主要涉及光学仪器及其零配件的研发和加工;光学透镜、反射镜、棱镜,平板显示,安防监控等光学镀膜产品的开发和生产,为全球客户提供上等的产品和服务。
中国涂布技术研究精选了《卷对卷涂布技术及其应用》(Roll-to-Roll Coating Technology and Its Applications: A Review)一文,分上下两期进行连载,本期主要介绍R2R涂布工艺,下期介绍R2R涂布技术的特点和工艺参数及其应用。
摘要
卷对卷(R2R)涂布技术凭借其在高通量和环境友好方面的优势,在工业场合被广泛研究和应用。薄膜和厚膜的形成是通过建立在R2R系统上的各种技术形成的,包括浸渍涂布、刮刀涂布、狭缝涂布、直接涂布、微凹涂布和喷雾涂布。在这篇文章中,涂布技术将从工艺优化和应用示例的角度来介绍。此外,R2R卷料处理也包括其与涂布工艺的关系。工艺条件是通过涂布过程的数学模型和实际测量数据呈现的涂布窗获得的。涂布技术的应用聚焦在能够使用可溶性材料的印刷电子设备上。R2R真空涂布和不使用R2R工艺的实验室涂布技术在本文中不作讨论。本文中R2R涂布技术和应用的总结旨在为前沿的涂布技术提供操作指导和长远展望。
简介
涂布被定义为液相(溶液)或固相(粉墨或纳米颗粒)中特定沉积材料薄层覆盖基材的过程。涂布技术可以按照目标规格如涂层厚度、涂层表面粗糙度、涂布产品速度和尺寸进行调整,也可以根据涂布速度、涂膜宽度和图案化能力(全涂层或条纹涂层;这里我们将三维涂层看作印刷)来决定。
涂布过程可以在大气压和低真空环境下进行,由选择的涂布液溶解度来分类。在溶剂型涂布中,目标材料和粘合剂溶解在溶液中直接涂布在基材上,溶剂从湿膜中挥发得到干膜。相反,化学气相沉积、物**相沉积、原子层沉积、等离子体和溅射等真空沉积被主要用作薄且非常均匀的金属沉积层,在低真空或高真空状态下用于导热或导电。在本篇文章中,我们只包括解决方案流程示例。
从生产规模的角度来看,溶液涂布技术与R2R制造紧密相关,可划分为实验室和大规模生产。滴涂法、旋转涂布、棒材涂布因使用简单被广泛用于电子应用中的小尺寸覆盖,如柔性印刷电路板(FPCB)、染料敏化太阳能电池 (DSSC)、超级电容器(SC)、 透明导电薄膜(TCF)。上述技术与R2R工艺特征中的大面积和高速度不适用。另一方面R2R工艺有各自适用的涂布方法;浸渍涂布、直接凹版涂布、微凹版涂布、刮刀涂布、狭缝涂布、喷雾涂布和液体火焰喷涂(LFS)都在这篇文章中进行主要讨论。
涂布技术主要是用于装饰、保护和功能性的目的。*近的研究主要集中在功能性薄膜涂布,其中关系*为密切的是印刷电子的应用,如TCF、DSSC、电子纸、射频识别(RFID)、有机光伏(OPV)、电池、燃料电池、传感器、微流体和SC,因为它们需要几十到几百微米的更薄涂层。上述的涂布技术有各自的工艺特点,所以涂布技术应该根据目标设备的结构(单层或多层)、涂层厚度(0.01~250μm)和涂层的均匀性进行选择。
R2R涂布工艺
适当的涂布操作条件被称为涂布窗,可以通过选择数学和试验方法获得涂层的目标厚度。涂布流动基于管理方程的数学预测进行分析,使用计算流体动力学进行可视化。由于涂布流的复杂性和涂布液的多样性,没有对涂布工艺真正的预测建模进行研究。使用计算方法可以在小区域内提供准确的流体动力学,但是当延伸到像R2R这样大面积的工艺时,就需要大量的时间进行分析以及会遇到意外的问题。因此,选择*有效的涂布参数来达到期望的涂布结果是基于知识和技能而不是分析模型。
涂布工艺被分为自计量和预计量类型。自计量涂布通过涂布参数(液体特性、卷料速度和涂布机几何形状)的综合影响准确计算涂布厚度。另一方面,预计量涂布涉及独立影响涂布厚度的参数,因此更加灵敏。在这部分,我们结合并总结下图所示的R2R可行涂布技术,包括自计量的浸渍涂布和刮刀涂布技术,预计量的狭缝涂布、直接凹版涂布、微凹版涂布和喷雾涂布技术以及主要的涂布参数,从而为工业提供指南和思考方法。

图1 R2R涂布技术:(a)浸渍涂布;(b)刮刀涂布;(c) 狭缝涂布;(d) 直接凹版涂布;(e) 微凹版涂布;(f)喷雾涂布
1
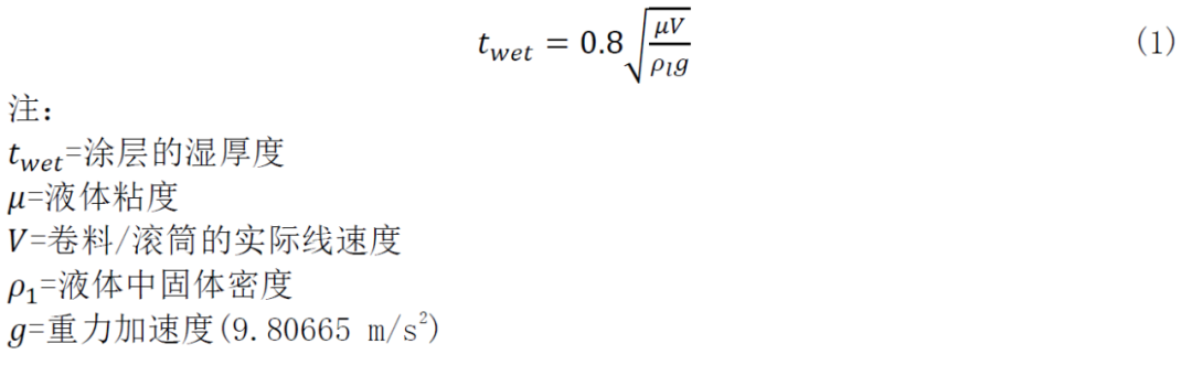
浸渍涂布
浸渍涂布是*简单的薄膜制造方法,在扩大规模前是*常被用于在实验室规模制造先进的TCF结构。它也适用于R2R工艺,在涂布液槽中浸没辊模块。裸膜从上游跨度驱动首先浸泡在液体中,当卷料迁出到液体池外面时涂布工艺完成。通过收料相关的
、V、
和g的多种参数制定卷料的涂层厚度
,用公式(1)表示
0.8的系数是牛顿流体的常数,而对于低于0.01的低毛细管数则不然。在浸渍涂布中,液体特性和涂布速度取决于液体的配方。为了在浸渍涂布中获得更好的涂布产品,高表面张力的高粘度液体是合适的为了基底上溶液的阻力*大化。
2
刮刀涂布
R2R刮刀涂布被用于制造OPVs、电池、电子纸和燃料电池的层。刮刀涂布被大致分为刮涂方法之一。刀垂直位置置于辊上,距离为
,当基底以特定速度移动时可以抹去过量的溶液并形成特定涂层。涂层的数学估计用公式(2)表示
随着
和溶液浓度(如通过改变
和
)的变化而变化。密度状态属于材料和溶液性质,但是在溶液固定的情况下,
的工艺条件可以控制涂层厚度。如公式(2)所示,由于辊的偏心度和圆度原因,
变得不稳定,所以为获得均匀的涂层刀,应该被准确的固定在涂布区域。此外,刀必须平行于卷料的移动方向。涂布速度与涂布厚度控制无关,但是与涂布液的泄漏量(leakage)密切相关。在刮刀涂布中,溶液的泄漏量和溢出量是一个关键问题。这个问题已经通过改变刀的长度和形状以及安装一个高粘度的液体池来处理。
3
狭缝涂布
如图1(c)所示,狭缝涂布是典型的R2R适应性方法,被广泛使用于生产各种涂布产品,如OPV、TCF、压敏胶(PSA)尤其是在多层和条纹涂层中使用。相比于自计量涂布,它是一种预计量涂布技术,通过调整涂布条件和溶液特性(如
)对
进行估计和控制。不考虑溶液浓度,
通过结合工艺参数来确定,用公式(3)表示
这个方程被称为粘性****模型,是从Carvalho和Kheshgi衍生得来的,
此方程仅在0.02以下的低****数有效。从公式(3)清楚的看出,在刮刀涂布中涂布性能影响涂布厚度。此外𝑉和
也是R2R工艺的影响因素。𝑉在R2R工艺中很容易设定,并在R2R刮刀涂布工艺中被确定为*重要的参数。
在高****数的情况下,涂布窗口会发生变化,不适合粘性****模型使用。除了公式(3),涂层厚度也可以衍生为公式(4),这更适高毛细管数涂布。
已经被证实在使用高粘度溶液时,根据公式(4)预测真实的涂布厚度。此外,公式(3)中没有考虑涂布工艺中一个重要的参数
,因为下游的弯月面被认为是圆柱形。因此,
应该随着𝑉变化;这些因素在稳定的弯月面比例关系中互相依赖。总之,狭缝涂布是一个灵敏的过程,取决于适合生产高精度涂层的各种参数。
4
凹版涂布
凹版涂布是将涂布机本身用作背辊的**方法。对于辊上雕刻形式的使用,网纹辊是复杂的线图案工具而不仅仅是涂层。凹版印刷方法和其他印刷工艺(喷墨印刷、胶版印刷、丝网印刷和转移印刷)相比,是一种具有高分辨率印刷线条的快速工艺。在制版过程中,网纹辊和张力辊以不同的方式旋转,以特定的速度传送基底。
相反,使用网纹辊作为涂布工艺,图案被雕刻在整个表面,网纹辊的旋转方向变化和卷料的行进方向成对比。直接涂布和胶版涂布分别是网纹辊直接接触卷料和由胶印辊转移涂层。除了正向涂布与卷料行进方向相同外,反向涂布也可以与卷料运动的相反方向进行。这是按动力辊类型进行划分的。
图1(d)和(e)分别说明前面的凹版涂布动力辊和微凹版涂布。微凹版涂布被定义涂布辊的直径与宽度相比非常小。微凹版涂布可以获得像狭缝涂布一样的薄的涂层。Benkreira等人从理论上已经证实反向凹版涂布的薄膜厚度,如公式(5)所示
凹版涂布中
是由速度比
和
决定。在涂布工艺中
与辊的制造和修正压力深度和压力固定有关。
速度比
是凹版涂布中的主要实验参数。它是辊对基材阻力的来源。这意味着在辊和基材相同速度状态下
为*低值。
的增加和速度比
成正比,也可以用于流速的增加(收回)。
凹版涂布是一种预计量技术,但是液体和基材的表面能方面有局限性。液体本身的聚集和液体与基材之间的相互作用可以决定液体传递速率,因此这些也必须考虑。
5
喷雾涂布
图1(f)描述了在运输的R2R卷料基材上的喷雾涂布。在液体被气流强制并通过喷嘴排出的情况下,已经进行了喷涂。喷雾涂布与R2R工艺布兼容是众所周知的,因为处理液滴很复杂。R2R喷雾涂布已经被引入SC设备的制造。喷涂层的喷涂和蒸发已经有很多的研究。首先,雾化在喷雾涂布中是关键问题,用公式(6)表示
通过改变
,雾化的液滴破裂被分为三种状态:装袋、剥离和灾难性解体。在这个过程中,我们可以看到液体的性能和气流可以确定为均匀层。尽管如此,在R2R工艺中,没有与涂布条件有关的喷雾涂层厚度数学模型。此外,要获得一个均匀的涂层还必须考虑液滴的飞行和在基材上的落地与飞溅。然而,在下一节中的LFS涂布是值得注意的,因为它具有快速和厚膜涂布能力。
关于我们
上海卷柔新技术光电有限公司是一家专业研发生产光学仪器及其零配件的高科技企业,公司2005年成立在上海闵行零号湾创业园区,专业的光电镀膜公司,技术背景依托中国科学院,卷柔产品主要涉及光学仪器及其零配件的研发和加工;光学透镜、反射镜、棱镜,平板显示,安防监控等光学镀膜产品的开发和生产,为全球客户提供上等的产品和服务。
采用德国薄膜制备工艺,形成了一套具有严格工艺标准的闭环式流程技术制备体系,能够制备各种超高性能光学薄膜,包括红外薄膜、增透膜,ARcoating,激光薄膜、特种薄膜、紫外薄膜、x射线薄膜,应用领域涉及激光切割、激光焊接、激光美容、医用激光器、光学科研,红外制导、面部识别、VR/AR应用,博物馆,低反射橱窗玻璃,画框,工业灯具照明,广告机,点餐机,电子白板,安防监控等。卷柔新技术拥有自主知识产权的全自动生产线【sol-gel溶胶凝胶法镀膜线】,这条生产线能够生产全球先进的减反射玻璃。镀膜版面可达到2440*3660mm,玻璃厚度从0.3mm到12mm都可以,另外针对PC,PMMA方面的增透膜也具有量产生产能力。ARcoating减反膜基本接近无色,色彩还原性好,并且可以避免了磁控溅射的缺点,镀完增透膜后玻璃可以做热弯处理和钢化处理以及DIP打印处理。这个难度和具有很好的应用性,新意突出,实用性突出,湿法镀膜在价格方面也均优于真空磁控的干法。
卷柔减反射(AR)玻璃的特点:高透,膜层无色,膜硬度高,抗老化性强(耐候性强于玻璃),玻璃长期使用存放不发霉,且有一定的自洁效果.AR增透减反膜玻璃产品广泛应用于**文博展示、低反射幕墙、广告机玻璃、节能灯具盖板玻璃、液晶显示器保护玻璃等多行业。
我们的愿景:卷柔让光学更具价值!
我们的使命:有光的地方就有卷柔新技术!
我们的目标:以高质量的产品,优惠的价格,贴心的服务,为客户提供优良的解决方案。
上海卷柔科技以现代镀膜技术为核心驱动力,通过镀膜设备、镀膜加工、光学镀膜产品服务于客户,努力为客户创造新的利润空间和竞争优势,为中国的民族制造业的发展贡献力量。



