封装材料:光敏绝缘介质材料(包括PSPI和BCB)(6350字)
封装材料:光敏绝缘介质材料(包括PSPI和BCB)(6350字)
需要增透减反技术可以联系我们上海工厂18917106313
上海卷柔新技术光电有限公司是一家专业研发生产光学仪器及其零配件的高科技企业,公司2005年成立在上海闵行零号湾创业园区,专业的光电镀膜公司,技术背景依托中国科学院,卷柔产品主要涉及光学仪器及其零配件的研发和加工;光学透镜、反射镜、棱镜,平板显示,安防监控等光学镀膜产品的开发和生产,为全球客户提供上等的产品和服务。
写在前面
一直在路上,所以停下脚步,只在于分享
分享内容包括:新材料/半导体/新能源/光伏/显示材料等
正文
在集成电路先进封装中,光敏绝缘介质材料主要用在圆片级芯片封装(Wafer Level Chip-scale Package,WLCSP)、扇出型圆片级封装、集成无源器件(Integrated Passive Device,IPD)圆片级封装上作为主要的介质材料,同时可以作为芯片的机械支撑材料。可以说,所有类型的圆片级封装产品都需要使用光敏绝缘介质材料来制造介质层。
一、光敏绝缘介质材料在先进封装中的应用
在圆片级封装结构中,晶圆表面的钝化层和晶圆信号排布的再布线层结构中的介质都需要通过光敏绝缘介质材料来制造。
图1所示为典型的圆片级封装模块的结构。在再布线层结构中,除可以作为再布线信号层的金属布线和凸点互连材料外,光敏绝缘介质材料是其中*主要的封装结构材料。
图1 典型的圆片级封装模块的结构
目前,市场上虽然已经有很多不同类型的光敏绝缘介质材料,但应用于集成电路先进封装的光敏绝缘介质材料主要包括光敏聚酰亚胺(Photo Sensitive Polyimide,PSPI)和苯并环丁烯(Benzocyclobutene,BCB)两类。
其中,BCB是陶氏化学(Dow Chemical)专门为了绝缘薄膜封装设计开发的光敏聚合材料,常用于MEMS等器件圆片级键合互连(Wafer Level Bondig)的介质材料,同时是前期产业界圆片级封装制造中绝缘介质材料的主要选择。
PSPI目前*大的用户是英特尔(Intel)。英特尔在制造中央处理器和图形处理器晶圆时都要使用而且仅使用PSPI来制造表面钝化层。由于此类处理器都采用倒装芯片的封装形式,因此英特尔使用PSPI作为介质来制造凸点或铜柱类的微细连接再布线层。
封装测试代工厂(Outsourced Semiconductor Assembly and Test,OSAT)在不同类型的圆片级封装产品上使用光敏绝缘介质材料,几家主要的封装测试代工厂[如日月光(ASE)、安靠(Amkor)、矽品(SPIL)、星科金朋等]虽然成功实现了BCB在圆片级封装中的量产应用,但BCB主要应用于小尺寸芯片和WLCSP产品上。由于PSPI具有更好的机械与材料特性,因此较多的封装测试代工厂选择PSPI作为大尺寸芯片圆片级封装的封装材料。
从事WLP、MEMS和图像传感器(Image Sensor)封装的制造企业大部分为光敏绝缘介质材料的用户,这些制造企业包括但不限于台湾积体电路制造股份有限公司(简称台积电,Taiwan Semiconductor Manufacturing Company,TSMC)、德州仪器(Texas Instruments,TI)、三星电子(Samsung Electronics)、台湾精材科技股份有限公司(简称台湾精材,Xintec)、中芯国际集成电路制造有限公司(简称中芯国际,SMIC)、江苏长电科技股份有限公司/江阴长电先进封装有限公司(简称长电科技/长电先进,JCET/JCAP)以及苏州晶方半导体科技股份有限公司(简称晶方科技,WLCSP)等。
美国的陶氏化学(Dow Chemical)为目前世界上**的BCB材料供应商。日本的富士胶片(Fujifilm)则为目前世界上*大的PSPI材料供应商(英特尔是其主要客户),其他PSPI材料供应商还包括HD微系统公司(HD Microsystems)、AZ电子材料有限公司(AZ Electronics Materials)、旭化成电子材料株式会社(Asahi Kasei E-Materials)、东丽株式会社(Toray)等,其中HD 微系统公司是日立化成(Hitachi Chemical)和杜邦(DuPont)的合资公司。中国台湾律胜科技股份有限公司等企业也在开展PSPI的研究与开发,其产品目前主要应用于柔性电路板(Flexible Printed Circuit,FPC)、印制电路板(Printed Circuit Board,PCB)与IC基板的制造。
二、光敏绝缘介质材料类别和材料特性
目前应用于集成电路先进封装的光敏绝缘介质材料主要为PSPI和BCB两类材料,这两类材料各自具有明显特点。
1、光敏聚酰亚胺(PSPI)
PSPI是一类主链结构上同时连接亚胺环及光敏基团的高分子聚合物,具有稳定性好,机械、电气、化学性能和感光性能良好等优点。PSPI材料的优势主要在于其高温稳定性、良好的机械性能与较高的玻璃转化温度(Tg),在实际应用中该类材料一般需要通过200℃或以上温度的高温进行固化,同时PSPI具有较高的化学收缩率和较好的吸潮性能。
表1为东丽株式会社不同型号的PSPI的材料特性
传统聚酰亚胺(PI)不具备光敏性,如果有图形化需求,需要与光刻胶配合使用,基本的方法是首先在PI膜上涂上一层光刻胶,刻出光刻胶图形,然后用光刻胶图形作为光刻掩蔽层,接着刻蚀下层的PI膜,移除光刻胶后,PI膜上即可留下光刻胶图形。
以PSPI为基质配制成的光刻胶可直接光刻成型,同时是介电材料,大大简化了集成电路的制造工艺,并提高了光刻胶图形的精度。
图2为PI和PSPI工艺流程对比。采用PI的工艺流程较复杂,而且由于引入了PI的刻蚀,加工精度相对较低;而使用PSPI制造IC器件中的有机介电层,相对于PI,可节省3~4道工序,特别是在多芯片组装和多层板的制造中,可以大幅提高生产效率、加工精度和成品率,并大大降低生产成本,具有很大的发展前景。
图2 非光敏聚酰亚胺(PI)和光敏聚酰亚胺(PSPI)工艺流程对比
PSPI材料按照光化学反应机理的不同可以分为负性PSPI和正性PSPI两类,按照化学结构可分为含有光敏基团的PSPI(光敏基团可分别从主链和侧链上引入)和自增感型PSPI。
1)负性PSPI
负性PSPI所用的光敏剂一般为光交联型光敏剂,光敏树脂的溶解性随着光化学反应的进行而降低,因此曝光后得到的图形与掩模版相反,如图3所示。
图3 负性PSPI与掩模版的对比
一般情况下,负性PSPI又可分为酯型负性PSPI、离子型负性PSPI、自增感型负性PSPI三大类。这三大类材料均有商业化产品。典型PSPI的材料特性如表2所示。
表2 典型PSPI的材料特性
(1)酯型负性PSPI
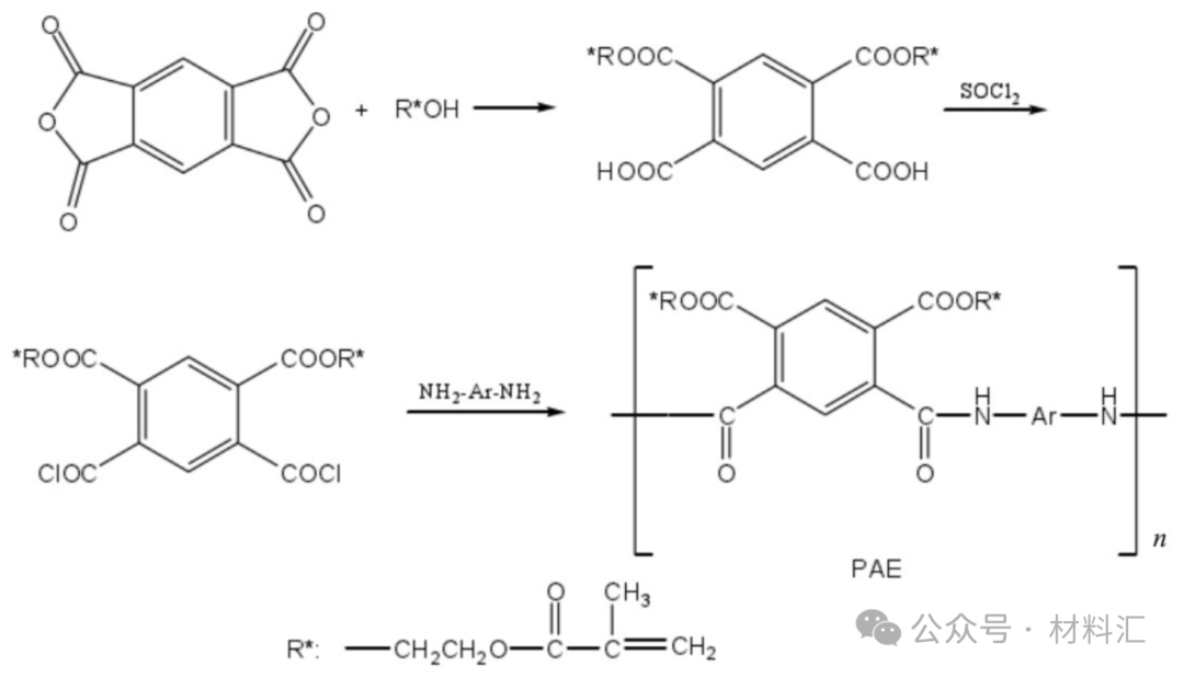
*早出现的具有应用价值的PSPI是酯型负性PSPI。1976年,西门子公司的Rubner将对UV敏感的光敏性醇与均苯二酐反应制得二酸二酯,酰氯化后与芳香二胺反应得到高分子链,生成比较稳定的聚酰胺酯(PAE)。其合成过程如图4所示。
目前市场上销售的酯型负性PSPI结构虽然均与图4类似,但在光敏基团和增感剂的选取方面,不同公司有所区别。该类PSPI有较好的流平性和成膜性,缺点是膜收缩率较大,分辨力只有5~10μm,感光度较低,可在单位结构中引入较多的光敏基团进行改善。
图4 酯型负性PSPI的合成过程
(2)离子型负性PSPI
离子型负性PSPI由聚酰胺酸和含有丙烯酸酯或甲基丙烯酸酯的叔胺组成。由这种合成方法制成的PSPI的优点是热稳定性好、电绝缘性好、制造简单、易实现商品化;缺点是因为光敏基团以离子键的形式与聚酰胺酸高分子链结合,在曝光及亚胺化的过程中大量光敏基团会脱落,所以膜的损失率比较高,分辨力下降。
关于我们
上海卷柔新技术光电有限公司是一家专业研发生产光学仪器及其零配件的高科技企业,公司2005年成立在上海闵行零号湾创业园区,专业的光电镀膜公司,技术背景依托中国科学院,卷柔产品主要涉及光学仪器及其零配件的研发和加工;光学透镜、反射镜、棱镜,平板显示,安防监控等光学镀膜产品的开发和生产,为全球客户提供上等的产品和服务。
采用德国薄膜制备工艺,形成了一套具有严格工艺标准的闭环式流程技术制备体系,能够制备各种超高性能光学薄膜,包括红外薄膜、增透膜,ARcoating,激光薄膜、特种薄膜、紫外薄膜、x射线薄膜,应用领域涉及激光切割、激光焊接、激光美容、医用激光器、光学科研,红外制导、面部识别、VR/AR应用,博物馆,低反射橱窗玻璃,画框,工业灯具照明,广告机,点餐机,电子白板,安防监控等。卷柔新技术拥有自主知识产权的全自动生产线【sol-gel溶胶凝胶法镀膜线】,这条生产线能够生产全球先进的减反射玻璃。镀膜版面可达到2440*3660mm,玻璃厚度从0.3mm到12mm都可以,另外针对PC,PMMA方面的增透膜也具有量产生产能力。ARcoating减反膜基本接近无色,色彩还原性好,并且可以避免了磁控溅射的缺点,镀完增透膜后玻璃可以做热弯处理和钢化处理以及DIP打印处理。这个难度和具有很好的应用性,新意突出,实用性突出,湿法镀膜在价格方面也均优于真空磁控的干法。
卷柔减反射(AR)玻璃的特点:高透,膜层无色,膜硬度高,抗老化性强(耐候性强于玻璃),玻璃长期使用存放不发霉,且有一定的自洁效果.AR增透减反膜玻璃产品广泛应用于**文博展示、低反射幕墙、广告机玻璃、节能灯具盖板玻璃、液晶显示器保护玻璃等多行业。
我们的愿景:卷柔让光学更具价值!
我们的使命:有光的地方就有卷柔新技术!
我们的目标:以高质量的产品,优惠的价格,贴心的服务,为客户提供优良的解决方案。
上海卷柔科技以现代镀膜技术为核心驱动力,通过镀膜设备、镀膜加工、光学镀膜产品服务于客户,努力为客户创造新的利润空间和竞争优势,为中国的民族制造业的发展贡献力量。



