技术讨论 | 光学薄膜的反射率
技术讨论 | 光学薄膜的反射率
需要增透减反技术可以联系我们上海工厂18917106313
上海卷柔新技术光电有限公司是一家专业研发生产光学仪器及其零配件的高科技企业,公司2005年成立在上海闵行零号湾创业园区,专业的光电镀膜公司,技术背景依托中国科学院,卷柔产品主要涉及光学仪器及其零配件的研发和加工;光学透镜、反射镜、棱镜,平板显示,安防监控等光学镀膜产品的开发和生产,为全球客户提供上等的产品和服务。
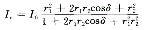
1 薄膜的反射率

(1)
其i中为折射角。
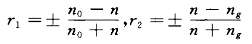
(2)

1) 在没有镀膜时,入射光强的反射率为一定值,在图中为一平行于横轴的直线.在镀膜时,薄膜光强反射率随nh/λ呈周期性的变化,其值大于或小于尺R0,说明光学薄膜可以增强或者减弱反射光(透射光).当n0<n>ng时,其反射率大于R0,反射光强度加强,光学薄膜为增反膜;当n0<n<ng时,其反射率小于R0,根据能量守恒,则透射光强度增加,此时光学薄膜为增透膜.这就是光学薄膜为增反膜(增透膜)其折射率应满足的条件。
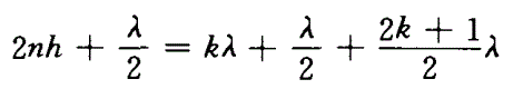
若nh=kλ,对增反膜有n0<n>ng,则图1中光束1,2,3…在正入射条件下的相干条件为:
(3)
(4)
关于我们
上海卷柔新技术光电有限公司是一家专业研发生产光学仪器及其零配件的高科技企业,公司2005年成立在上海闵行零号湾创业园区,专业的光电镀膜公司,技术背景依托中国科学院,卷柔产品主要涉及光学仪器及其零配件的研发和加工;光学透镜、反射镜、棱镜,平板显示,安防监控等光学镀膜产品的开发和生产,为全球客户提供上等的产品和服务。
采用德国薄膜制备工艺,形成了一套具有严格工艺标准的闭环式流程技术制备体系,能够制备各种超高性能光学薄膜,包括红外薄膜、增透膜,ARcoating,激光薄膜、特种薄膜、紫外薄膜、x射线薄膜,应用领域涉及激光切割、激光焊接、激光美容、医用激光器、光学科研,红外制导、面部识别、VR/AR应用,博物馆,低反射橱窗玻璃,画框,工业灯具照明,广告机,点餐机,电子白板,安防监控等。卷柔新技术拥有自主知识产权的全自动生产线【sol-gel溶胶凝胶法镀膜线】,这条生产线能够生产全球先进的减反射玻璃。镀膜版面可达到2440*3660mm,玻璃厚度从0.3mm到12mm都可以,另外针对PC,PMMA方面的增透膜也具有量产生产能力。ARcoating减反膜基本接近无色,色彩还原性好,并且可以避免了磁控溅射的缺点,镀完增透膜后玻璃可以做热弯处理和钢化处理以及DIP打印处理。这个难度和具有很好的应用性,新意突出,实用性突出,湿法镀膜在价格方面也均优于真空磁控的干法。
卷柔减反射(AR)玻璃的特点:高透,膜层无色,膜硬度高,抗老化性强(耐候性强于玻璃),玻璃长期使用存放不发霉,且有一定的自洁效果.AR增透减反膜玻璃产品广泛应用于**文博展示、低反射幕墙、广告机玻璃、节能灯具盖板玻璃、液晶显示器保护玻璃等多行业。
我们的愿景:卷柔让光学更具价值!
我们的使命:有光的地方就有卷柔新技术!
我们的目标:以高质量的产品,优惠的价格,贴心的服务,为客户提供优良的解决方案。
上海卷柔科技以现代镀膜技术为核心驱动力,通过镀膜设备、镀膜加工、光学镀膜产品服务于客户,努力为客户创造新的利润空间和竞争优势,为中国的民族制造业的发展贡献力量。



